
Τα νέα εργαστηριακά επιβεβαιωμένα κρούσματα της νόσου(άτομα) που καταγράφηκαν τις τελευταίες 48 ώρες ήταν 8.083. Ο συνολικός αριθμός των ατόμων που νόσησαν ανέρχεται σε 3.508.610 (ημερήσια μεταβολή +0.2%), εκ των οποίων 48.7% άνδρες.
Ο αριθμός πιθανών νέων επαναλοιμώξεων που καταγράφηκαν τις τελευταίες 48 ώρες ήταν 1.026 ενώ από την αρχή της πανδημίας SARS-CoV-2 ο συνολικός αριθμός εκτιμάται σε 142.947(3.9% του συνολικού αριθμού των θετικών αποτελεσμάτων).
Οι νέοι θάνατοι ασθενών με COVID-19 είναι 12, ενώ από την έναρξη της επιδημίας έχουν καταγραφεί συνολικά 30.033 θάνατοι.
Το 95.6% είχε υποκείμενο νόσημα ή/και ηλικία 70 ετών και άνω.
Ο αριθμός των ασθενών που νοσηλεύονται διασωληνωμένοι είναι 109 (58.7% άνδρες). Η διάμεση ηλικία τους είναι 69 έτη. To 92.7% έχει υποκείμενο νόσημα ή/και ηλικία 70 ετών και άνω. Μεταξύ των ασθενών που νοσηλεύονται διασωληνωμένοι, 49 (44.95%) είναι ανεμβολίαστοι ή μερικώς εμβολιασμένοι και 60 (55.05%) είναι πλήρως εμβολιασμένοι. Από την αρχή της πανδημίας έχουν εξέλθει από τις ΜΕΘ 4.702 ασθενείς.
Οι εισαγωγές νέων ασθενών COVID-19 στα νοσοκομεία της επικράτειας είναι 115 (ημερήσια μεταβολή +27.78%). Ο μέσος όρος εισαγωγών του επταημέρου είναι 100 ασθενείς. Η διάμεση ηλικία των κρουσμάτων είναι 37 έτη (εύρος 0.2 έως 112 έτη), ενώ η διάμεση ηλικία των θανόντων είναι 80 έτη (εύρος 0.2 έως 106 έτη).
98 νέα κρούσματα στη Μεσσηνία τις τελευταίες 48 ώρες
Το τελευταίο 48ωρο (Τρίτη 14/6) επιβεβαιώθηκαν 9.109 νέα κρούσματα κορονοϊού στη χώρα μας, εκ των οποίων το ένα είναι εισαγόμενο.
Στην Αττική εντοπίστηκαν 5.334 νέες μολύνσεις, ενώ 417 στη Θεσσαλονίκη.
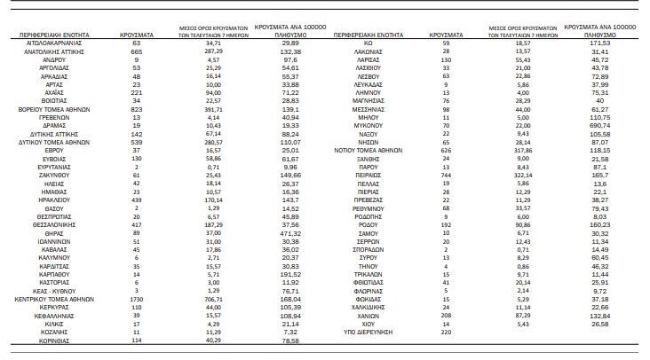
Δείτε την κατανομή των 9.108 νέων εγχώριων κρουσμάτων ανά Περιφερειακή Ενότητα στον παρακάτω πίνακα:
Δεν υπάρχουν σχόλια:
Δημοσίευση σχολίου
Σχόλια
Δεν βρέθηκαν σχόλια γι'αυτό το άρθρο.
Γίνε ο πρώτος που θα σχολιάσει το άρθρο χρησιμοποιώντας την παρακάτω φόρμα